Môn Tiếng Anh có gần 358.000 thí sinh đăng ký dự thi theo chương trình GDPT 2018
Tiếng Nga chỉ có số lượng thí sinh dự thi ít nhất chỉ với 103 thí sinh; tiếp theo là tiếng Pháp với 408 thí sinh; tiếng Trung có gần 4.400 thí sinh.
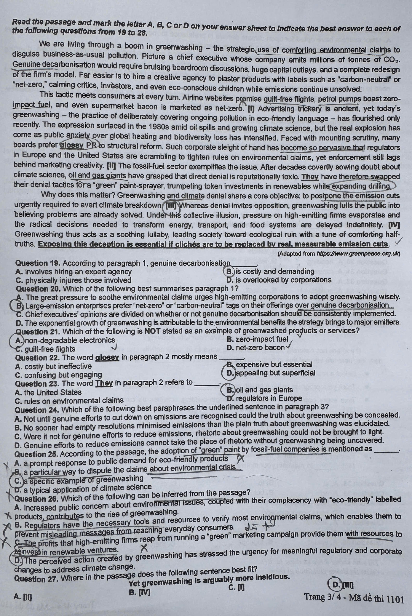
Dưới đây là đề thi môn tiếng Anh theo chương trình GDPT 2018:
![]() |
![]() |
![]() |
![]() |
![]() |
Cập nhật đáp án 48 mã đề của Trung tâm tuyensinh247:
| Mã đề 1101 | |||||||||
| 1. | 2. | 3. | 4. | 5. | 6. | 7. | 8. | 9. | 10. |
| 11. | 12. | 13. | 14. | 15. | 16. | 17. | 18. | 19. | 20. |
| 21. | 22. | 23. | 24. | 25. | 26. | 27. | 28. | 29.B | 30.B |
| 31.A | 32.D | 33.C | 34.C | 35. | 36. | 37. | 38. | 39. | 40. |
| Mã đề 1102 | |||||||||
| 1. | 2. | 3. | 4. | 5. | 6. | 7. | 8. | 9. | 10. |
| 11. | 12. | 13. | 14. | 15. | 16. | 17. | 18. | 19. | 20. |
| 21. | 22. | 23. | 24. | 25. | 26. | 27. | 28. | 29. | 30. |
| 31. | 32. | 33. | 34. | 35. | 36. | 37. | 38. | 39. | 40. |
| Mã đề 1103 - Môn Tiếng Anh - Tuyensinh247.com | |||||||||
| 1. | 2. | 3. | 4. | 5. | 6. | 7. | 8. | 9. | 10. |
| 11. | 12. | 13. | 14. | 15. | 16. | 17. | 18. | 19. | 20. |
| 21. | 22. | 23. | 24. | 25. | 26. | 27. | 28. | 29. | 30. |
| 31. | 32. | 33. | 34. | 35. | 36. | 37. | 38. | 39. | 40. |
| Mã đề 204 - Môn Tiếng Anh - Tuyensinh247.com | |||||||||
| 1. | 2. | 3. | 4. | 5. | 6. | 7. | 8. | 9. | 10. |
| 11. | 12. | 13. | 14. | 15. | 16. | 17. | 18. | 19. | 20. |
| 21. | 22. | 23. | 24. | 25. | 26. | 27.D | 28.B | 29.D | 30.C |
| 31.A | 32.D | 33. | 34. | 35. | 36. | 37. | 38. | 39. | 40. |
| Mã đề 205 - Môn Tiếng Anh - Tuyensinh247.com | |||||||||
| 1.D | 2.B | 3.A | 4.D | 5.D | 6.A | 7. | 8. | 9. | 10. |
| 11. | 12. | 13. | 14. | 15. | 16. | 17. | 18. | 19. | 20. |
| 21. | 22. | 23. | 24. | 25. | 26. | 27. | 28. | 29. | 30.D |
| 31.C | 32.D | 33.C | 34.B | 35.D | 36.A | 37.D | 38.A | 39.D | 40.A |
| Mã đề 206 - Môn Tiếng Anh - Tuyensinh247.com | |||||||||
| 1.D | 2.B | 3.B | 4.A | 5.D | 6.C | 7. | 8. | 9. | 10. |
| 11. | 12. | 13. | 14. | 15. | 16. | 17. | 18. | 19. | 20. |
| 21. | 22. | 23. | 24. | 25. | 26. | 27. | 28. | 29. | 30. |
| 31. | 32. | 33. | 34. | 35. | 36. | 37. | 38. | 39. | 40. |
| Mã đề 207 - Môn Tiếng Anh - Tuyensinh247.com | |||||||||
| 1. | 2. | 3. | 4. | 5. | 6. | 7.A | 8.B | 9.B | 10.C |
| 11.C | 12.D | 13. | 14. | 15. | 16. | 17. | 18. | 19. | 20. |
| 21. | 22. | 23. | 24. | 25. | 26. | 27. | 28. | 29. | 30. |
| 31. | 32. | 33. | 34. | 35. | 36. | 37. | 38. | 39. | 40. |
| Mã đề 208 - Môn Tiếng Anh - Tuyensinh247.com | |||||||||
| 1.A | 2. | 3. | 4.D | 5. | 6. | 7. | 8. | 9. | 10. |
| 11. | 12.D | 13. | 14. | 15. | 16. | 17. | 18. | 19. | 20. |
| 21. | 22.A | 23. | 24. | 25. | 26. | 27.D | 28. | 29.A | 30. |
| 31. | 32.A | 33. | 34. | 35.A | 36.A | 37.B | 38.B | 39.C | 40.C |
| Mã đề 1109 - Môn Tiếng Anh - Tuyensinh247.com | |||||||||
| 1. | 2. | 3. | 4. | 5. | 6. | 7. | 8. | 9. | 10. |
| 11. | 12. | 13. | 14. | 15. | 16. | 17. | 18. | 19. | 20. |
| 21. | 22. | 23. | 24. | 25. | 26. | 27. | 28. | 29. | 30. |
| 31. | 32. | 33. | 34. | 35. | 36. | 37. | 38. | 39. | 40. |
| Mã đề 210 - Môn Tiếng Anh - Tuyensinh247.com | |||||||||
| 1. | 2. | 3. | 4. | 5. | 6. | 7. | 8. | 9. | 10. |
| 11. | 12. | 13. | 14. | 15. | 16. | 17. | 18. | 19. | 20. |
| 21. | 22. | 23. | 24. | 25. | 26. | 27. | 28. | 29. | 30. |
| 31. | 32. | 33. | 34. | 35.B | 36.D | 37.C | 38.C | 39.A | 40.B |
| Mã đề 1111 - Môn Tiếng Anh - Tuyensinh247.com | |||||||||
| 1. | 2. | 3. | 4. | 5. | 6. | 7. | 8. | 9. | 10. |
| 11. | 12. | 13. | 14. | 15. | 16. | 17. | 18. | 19. | 20. |
| 21. | 22. | 23. | 24. | 25. | 26. | 27. | 28. | 29. | 30. |
| 31. | 32. | 33. | 34. | 35. | 36. | 37. | 38. | 39. | 40. |
| Mã đề 1112 - Môn Tiếng Anh - Tuyensinh247.com | |||||||||
| 1. | 2. | 3. | 4. | 5. | 6. | 7. | 8. | 9. | 10. |
| 11. | 12. | 13. | 14. | 15. | 16. | 17. | 18. | 19. | 20. |
| 21. | 22. | 23. | 24. | 25. | 26. | 27. | 28. | 29. | 30. |
| 31. | 32. | 33. | 34. | 35. | 36. | 37. | 38. | 39. | 40. |
| Mã đề 1113 - Môn Tiếng Anh - Tuyensinh247.com | |||||||||
| 1. | 2. | 3. | 4. | 5. | 6. | 7. | 8. | 9. | 10. |
| 11. | 12. | 13. | 14. | 15. | 16. | 17. | 18. | 19. | 20. |
| 21. | 22. | 23. | 24. | 25. | 26. | 27. | 28. | 29. | 30. |
| 31. | 32. | 33. | 34. | 35. | 36. | 37. | 38. | 39. | 40. |
| Mã đề 1114 - Môn Tiếng Anh - Tuyensinh247.com | |||||||||
| 1. | 2. | 3. | 4. | 5. | 6. | 7. | 8. | 9. | 10. |
| 11. | 12. | 13. | 14. | 15. | 16. | 17. | 18. | 19. | 20. |
| 21. | 22. | 23. | 24. | 25. | 26. | 27. | 28. | 29. | 30. |
| 31. | 32. | 33. | 34. | 35. | 36. | 37. | 38. | 39. | 40. |
| Mã đề 215 | |||||||||
| 1. | 2. | 3. | 4. | 5. | 6.A | 7.B | 8.B | 9.A | 10.A |
| 11.B | 12. | 13. | 14. | 15. | 16. | 17. | 18. | 19. | 20. |
| 21. | 22. | 23. | 24. | 25. | 26. | 27. | 28. | 29. | 30. |
| 31. | 32. | 33. | 34. | 35. | 36. | 37. | 38. | 39. | 40. |
| Mã đề 216 | |||||||||
| 1.A | 2.B | 3.A | 4.C | 5.A | 6.C | 7.C | 8.A | 9.D | 10.B |
| 11.A | 12.C | 13.B | 14.C | 15.D | 16.B | 17.A | 18.C | 19.B | 20.B |
| 21.B | 22.D | 23.B | 24.D | 25.C | 26.A | 27.B | 28.A | 29.A | 30.C |
| 31.A | 32.C | 33.B | 34.C | 35.B | 36.C | 37.D | 38.B | 39.A | 40.A |
| Mã đề | |||||||||
| 1. | 2. | 3. | 4. | 5. | 6. | 7. | 8. | 9. | 10. |
| 11. | 12. | 13. | 14. | 15. | 16. | 17. | 18. | 19. | 20. |
| 21. | 22. | 23. | 24. | 25. | 26. | 27. | 28. | 29. | 30. |
| 31. | 32. | 33. | 34. | 35.C | 36.A | 37.A | 38.B | 39.D | 40.D |
| Mã đề 218 - Môn Tiếng Anh - Tuyensinh247.com | |||||||||
| 1. | 2. | 3. | 4. | 5. | 6. | 7. | 8. | 9. | 10. |
| 11. | 12. | 13. | 14. | 15. | 16. | 17. | 18. | 19. | 20. |
| 21. | 22. | 23. | 24. | 25. | 26. | 27. | 28. | 29. | 30.C |
| 31.C | 32.B | 33.D | 34.A | 35.B | 36. | 37. | 38. | 39. | 40. |
| Mã đề 1119 - Môn Tiếng Anh - Tuyensinh247.com | |||||||||
| 1. | 2. | 3. | 4. | 5. | 6. | 7. | 8. | 9. | 10. |
| 11. | 12. | 13. | 14. | 15. | 16. | 17. | 18. | 19. | 20. |
| 21. | 22. | 23. | 24. | 25. | 26. | 27. | 28. | 29. | 30. |
| 31. | 32. | 33. | 34. | 35. | 36. | 37. | 38. | 39. | 40. |
| Mã đề 1120 - Môn Tiếng Anh - Tuyensinh247.com | |||||||||
| 1. | 2. | 3. | 4. | 5. | 6. | 7. | 8. | 9. | 10. |
| 11. | 12. | 13. | 14. | 15. | 16. | 17. | 18. | 19. | 20. |
| 21. | 22. | 23. | 24. | 25. | 26. | 27. | 28. | 29. | 30. |
| 31. | 32. | 33. | 34. | 35. | 36. | 37. | 38. | 39. | 40. |
| Mã đề 1121 - Môn Tiếng Anh - Tuyensinh247.com | |||||||||
| 1. | 2. | 3. | 4. | 5. | 6. | 7. | 8. | 9. | 10. |
| 11. | 12. | 13. | 14. | 15. | 16. | 17. | 18. | 19. | 20. |
| 21. | 22. | 23. | 24. | 25. | 26. | 27. | 28. | 29. | 30. |
| 31. | 32. | 33. | 34. | 35. | 36. | 37. | 38. | 39. | 40. |
| Mã đề 222 - Môn Tiếng Anh - Tuyensinh247.com | |||||||||
| 1. | 2. | 3. | 4. | 5. | 6. | 7. | 8. | 9. | 10. |
| 11. | 12. | 13. | 14. | 15. | 16. | 17. | 18. | 19. | 20. |
| 21. | 22. | 23. | 24. | 25. | 26. | 27. | 28. | 29. | 30.C |
| 31.C | 32.A | 33.B | 34.B | 35.A | 36. | 37. | 38. | 39. | 40. |
| Mã đề 1123 - Môn Tiếng Anh - Tuyensinh247.com | |||||||||
| 1. | 2. | 3. | 4. | 5. | 6. | 7. | 8. | 9. | 10. |
| 11. | 12. | 13. | 14. | 15. | 16. | 17. | 18. | 19. | 20. |
| 21. | 22. | 23. | 24. | 25. | 26. | 27. | 28. | 29. | 30. |
| 31. | 32. | 33. | 34. | 35. | 36. | 37. | 38. | 39. | 40. |
| Mã đề 1124 - Môn Tiếng Anh - Tuyensinh247.com | |||||||||
| 1. | 2. | 3. | 4. | 5. | 6. | 7. | 8. | 9. | 10. |
| 11.C | 12.B | 13.D | 14.A | 15.B | 16.C | 17. | 18. | 19. | 20. |
| 21. | 22. | 23. | 24. | 25. | 26. | 27. | 28. | 29. | 30. |
| 31. | 32. | 33. | 34. | 35. | 36. | 37. | 38. | 39. | 40. |
| Mã đề 1125 - Môn Tiếng Anh - Tuyensinh247.com | |||||||||
| 1. | 2. | 3. | 4. | 5. | 6. | 7. | 8. | 9. | 10. |
| 11. | 12. | 13. | 14. | 15. | 16. | 17. | 18. | 19. | 20. |
| 21. | 22. | 23. | 24. | 25. | 26. | 27. | 28. | 29. | 30. |
| 31. | 32. | 33. | 34. | 35. | 36. | 37. | 38. | 39. | 40. |
| Mã đề 1126 - Môn Tiếng Anh - Tuyensinh247.com | |||||||||
| 1. | 2. | 3. | 4. | 5. | 6. | 7. | 8. | 9. | 10. |
| 11. | 12. | 13. | 14. | 15. | 16. | 17. | 18. | 19. | 20. |
| 21. | 22. | 23. | 24. | 25. | 26. | 27. | 28. | 29. | 30. |
| 31. | 32. | 33. | 34. | 35. | 36. | 37. | 38. | 39. | 40. |
| Mã đề 1127 - Môn Tiếng Anh - Tuyensinh247.com | |||||||||
| 1. | 2. | 3. | 4. | 5. | 6. | 7. | 8. | 9. | 10. |
| 11. | 12. | 13. | 14. | 15. | 16. | 17. | 18. | 19. | 20. |
| 21. | 22. | 23. | 24. | 25. | 26. | 27. | 28. | 29. | 30. |
| 31. | 32. | 33. | 34. | 35. | 36. | 37. | 38. | 39. | 40. |
| Mã đề 1128 - Môn Tiếng Anh - Tuyensinh247.com | |||||||||
| 1. | 2. | 3. | 4. | 5. | 6. | 7. | 8. | 9. | 10. |
| 11. | 12. | 13. | 14. | 15. | 16. | 17. | 18. | 19. | 20. |
| 21. | 22. | 23. | 24. | 25. | 26. | 27. | 28. | 29. | 30. |
| 31. | 32. | 33. | 34. | 35. | 36. | 37. | 38. | 39. | 40. |
| Mã đề 1129 - Môn Tiếng Anh - Tuyensinh247.com | |||||||||
| 1. | 2. | 3. | 4. | 5. | 6. | 7. | 8. | 9. | 10. |
| 11. | 12. | 13. | 14. | 15. | 16. | 17. | 18. | 19. | 20. |
| 21. | 22. | 23. | 24. | 25. | 26. | 27. | 28. | 29. | 30. |
| 31. | 32. | 33. | 34. | 35. | 36. | 37. | 38. | 39. | 40. |
| Mã đề 1130 - Môn Tiếng Anh - Tuyensinh247.com | |||||||||
| 1. | 2. | 3. | 4. | 5. | 6. | 7. | 8. | 9. | 10. |
| 11. | 12. | 13. | 14. | 15. | 16. | 17. | 18. | 19. | 20. |
| 21. | 22. | 23. | 24. | 25. | 26. | 27. | 28. | 29. | 30. |
| 31. | 32. | 33. | 34. | 35. | 36. | 37. | 38. | 39. | 40. |
| Mã đề 231 - Môn Tiếng Anh - Tuyensinh247.com | |||||||||
| 1. | 2. | 3. | 4. | 5. | 6. | 7. | 8. | 9. | 10. |
| 11. | 12. | 13. | 14. | 15. | 16. | 17. | 18. | 19. | 20. |
| 21. | 22. | 23. | 24. | 25. | 26. | 27. | 28. | 29. | 30.D |
| 31.A | 32.C | 33.C | 34.C | 35. | 36. | 37. | 38. | 39. | 40. |
| Mã đề 1132 - Môn Tiếng Anh - Tuyensinh247.com | |||||||||
| 1. | 2. | 3. | 4. | 5. | 6. | 7. | 8. | 9. | 10. |
| 11. | 12. | 13. | 14. | 15. | 16. | 17. | 18. | 19. | 20. |
| 21. | 22. | 23. | 24. | 25. | 26. | 27. | 28. | 29. | 30. |
| 31. | 32. | 33. | 34. | 35. | 36. | 37. | 38. | 39. | 40. |
| Mã đề 1133 - Môn Tiếng Anh - Tuyensinh247.com | |||||||||
| 1. | 2. | 3. | 4. | 5. | 6. | 7. | 8. | 9. | 10. |
| 11. | 12. | 13. | 14. | 15. | 16. | 17. | 18. | 19. | 20. |
| 21. | 22. | 23. | 24. | 25. | 26. | 27. | 28. | 29. | 30. |
| 31. | 32. | 33. | 34. | 35. | 36. | 37. | 38. | 39. | 40. |
| Mã đề 1134 - Môn Tiếng Anh - Tuyensinh247.com | |||||||||
| 1. | 2. | 3. | 4. | 5. | 6. | 7. | 8. | 9. | 10. |
| 11. | 12. | 13. | 14. | 15. | 16. | 17. | 18. | 19. | 20. |
| 21. | 22. | 23. | 24. | 25. | 26. | 27. | 28. | 29. | 30. |
| 31. | 32. | 33. | 34. | 35. | 36. | 37. | 38. | 39. | 40. |
| Mã đề 1135 - Môn Tiếng Anh - Tuyensinh247.com | |||||||||
| 1. | 2. | 3. | 4. | 5. | 6. | 7. | 8. | 9. | 10. |
| 11. | 12. | 13. | 14. | 15. | 16. | 17. | 18. | 19. | 20. |
| 21. | 22. | 23. | 24. | 25. | 26. | 27. | 28. | 29. | 30. |
| 31. | 32. | 33. | 34. | 35. | 36. | 37. | 38. | 39. | 40. |
| Mã đề 1136 - Môn Tiếng Anh - Tuyensinh247.com | |||||||||
| 1. | 2. | 3. | 4. | 5. | 6. | 7. | 8. | 9. | 10. |
| 11. | 12. | 13. | 14. | 15. | 16. | 17. | 18. | 19. | 20. |
| 21. | 22. | 23. | 24. | 25. | 26. | 27. | 28. | 29. | 30. |
| 31. | 32. | 33. | 34. | 35. | 36. | 37. | 38. | 39. | 40. |
| Mã đề 1137 - Môn Tiếng Anh - Tuyensinh247.com | |||||||||
| 1. | 2. | 3. | 4. | 5. | 6. | 7. | 8. | 9. | 10. |
| 11. | 12. | 13. | 14. | 15. | 16. | 17. | 18. | 19. | 20. |
| 21. | 22. | 23. | 24. | 25. | 26. | 27. | 28. | 29. | 30. |
| 31. | 32. | 33. | 34. | 35. | 36. | 37. | 38. | 39. | 40. |
| Mã đề 1138 - Môn Tiếng Anh - Tuyensinh247.com | |||||||||
| 1. | 2. | 3. | 4. | 5. | 6. | 7. | 8. | 9. | 10. |
| 11. | 12. | 13. | 14. | 15. | 16. | 17. | 18. | 19. | 20. |
| 21. | 22. | 23. | 24. | 25. | 26. | 27. | 28. | 29. | 30. |
| 31. | 32. | 33. | 34. | 35. | 36. | 37. | 38. | 39. | 40. |
| Mã đề 1139 - Môn Tiếng Anh - Tuyensinh247.com | |||||||||
| 1. | 2. | 3. | 4. | 5. | 6. | 7. | 8. | 9. | 10. |
| 11. | 12. | 13. | 14. | 15. | 16. | 17. | 18. | 19. | 20. |
| 21. | 22. | 23. | 24. | 25. | 26. | 27. | 28. | 29. | 30. |
| 31. | 32. | 33. | 34. | 35. | 36. | 37. | 38. | 39. | 40. |
| Mã đề 1140 - Môn Tiếng Anh - Tuyensinh247.com | |||||||||
| 1. | 2. | 3. | 4. | 5. | 6. | 7. | 8. | 9. | 10. |
| 11. | 12. | 13. | 14. | 15. | 16. | 17. | 18. | 19. | 20. |
| 21. | 22. | 23. | 24. | 25. | 26. | 27. | 28. | 29. | 30. |
| 31. | 32. | 33. | 34. | 35. | 36. | 37. | 38. | 39. | 40. |
| Mã đề 1141 - Môn Tiếng Anh - Tuyensinh247.com | |||||||||
| 1. | 2. | 3. | 4. | 5. | 6. | 7. | 8. | 9. | 10. |
| 11. | 12. | 13. | 14. | 15. | 16. | 17. | 18. | 19. | 20. |
| 21. | 22. | 23. | 24. | 25. | 26. | 27. | 28. | 29. | 30. |
| 31. | 32. | 33. | 34. | 35. | 36. | 37. | 38. | 39. | 40. |
| Mã đề 1142 - Môn Tiếng Anh - Tuyensinh247.com | |||||||||
| 1. | 2. | 3. | 4. | 5. | 6. | 7. | 8. | 9. | 10. |
| 11. | 12. | 13. | 14. | 15. | 16. | 17. | 18. | 19. | 20. |
| 21. | 22. | 23. | 24. | 25. | 26. | 27. | 28. | 29. | 30. |
| 31. | 32. | 33. | 34. | 35. | 36. | 37. | 38. | 39. | 40. |
| Mã đề 1143 - Môn Tiếng Anh - Tuyensinh247.com | |||||||||
| 1. | 2. | 3. | 4. | 5. | 6. | 7. | 8. | 9. | 10. |
| 11. | 12. | 13. | 14. | 15. | 16. | 17. | 18. | 19. | 20. |
| 21. | 22. | 23. | 24. | 25. | 26. | 27. | 28. | 29. | 30. |
| 31. | 32. | 33. | 34. | 35. | 36. | 37. | 38. | 39. | 40. |
| Mã đề 244 - Môn Tiếng Anh - Tuyensinh247.com | |||||||||
| 1. | 2. | 3. | 4. | 5. | 6. | 7. | 8. | 9. | 10. |
| 11. | 12. | 13. | 14. | 15. | 16. | 17. | 18. | 19.D | 20.A |
| 21.B | 22.C | 23.B | 24.C | 25. | 26. | 27. | 28. | 29. | 30. |
| 31. | 32. | 33. | 34. | 35. | 36. | 37. | 38. | 39. | 40. |
| Mã đề 245 - Môn Tiếng Anh - Tuyensinh247.com | |||||||||
| 1.A | 2.B | 3.D | 4.B | 5.C | 6.A | 7. | 8. | 9. | 10. |
| 11. | 12. | 13. | 14. | 15. | 16. | 17. | 18. | 19. | 20. |
| 21. | 22. | 23. | 24. | 25. | 26. | 27. | 28. | 29. | 30. |
| 31. | 32. | 33. | 34. | 35. | 36. | 37. | 38. | 39. | 40. |
| Mã đề 1146 - Môn Tiếng Anh - Tuyensinh247.com | |||||||||
| 1. | 2. | 3. | 4. | 5. | 6. | 7. | 8. | 9. | 10. |
| 11. | 12. | 13. | 14. | 15. | 16. | 17. | 18. | 19. | 20. |
| 21. | 22. | 23. | 24. | 25. | 26. | 27. | 28. | 29. | 30. |
| 31. | 32. | 33. | 34. | 35. | 36. | 37. | 38. | 39. | 40. |
| Mã đề 1147 - Môn Tiếng Anh - Tuyensinh247.com | |||||||||
| 1. | 2. | 3. | 4. | 5. | 6. | 7. | 8. | 9. | 10. |
| 11. | 12. | 13. | 14. | 15. | 16. | 17. | 18. | 19. | 20. |
| 21. | 22. | 23. | 24. | 25. | 26. | 27. | 28. | 29. | 30. |
| 31. | 32. | 33. | 34. | 35. | 36. | 37. | 38. | 39. | 40. |
| Mã đề 1148 - Môn Tiếng Anh - Tuyensinh247.com | |||||||||
| 1. | 2. | 3. | 4. | 5. | 6. | 7. | 8. | 9. | 10. |
| 11. | 12. | 13. | 14. | 15. | 16. | 17. | 18. | 19. | 20. |
| 21. | 22. | 23. | 24. | 25. | 26. | 27. | 28. | 29. | 30. |
| 31. | 32. | 33. | 34. | 35. | 36. | 37. | 38. | 39. | 40. |



